918博天堂助力阿尔及利亚“春苗行动”受大使馆表扬
当地时间7月24日,阿尔及利亚“春苗行动”历经75天圆满结束,在阿中国公民顺利接种了来自国内的新冠肺炎疫苗,为海外同胞的身体健康筑起了防护屏障。918博天堂阿尔及利亚代表处积极响应驻阿使馆及医疗队的要求,派出志愿者勇担重任,冒着酷暑和感染风险,跟随接种组转战各接种点。
阿尔及利亚“春苗行动”覆盖阿尔及利亚阿尔及尔省、安纳巴省和奥兰省共4个接种点,累计接种2万余人次,涵盖各中资企业职工、劳务派遣分包队伍以及华商机构和个人,疫苗接种率达99%以上,做到了应接尽接。
在配合此次在阿“春苗行动”的同时,918博天堂严格按照国资委和集团总部的各项防疫要求,严防严控,在阿3个机构和11个项目部没有出现1例确诊病例,保持了“零感染”记录,符合接种条件的355名正式员工和劳务队伍也全部完成了疫苗接种。
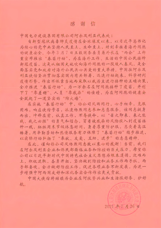
此次“春苗行动”圆满结束后,阿尔及利亚代表处收到了中国驻阿尔及利亚大使馆感谢信,使馆对918博天堂在阿尔及利亚“春苗行动”期间的配合和支持表示感谢,对派出的杨煦同志提出表扬。918博天堂阿尔及利亚代表处将更严格地遵循国资委及集团部署的各项防疫要求,坚决做到防疫和工作两手抓,强化防护意识,严格遵守防疫规定,万众一心,取得抗疫稳产的最终胜利。







京公网安备 11010802025224号